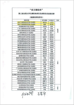
2023年12月1日,“南方测绘杯”第三届全国大学生测绘地理信息虚拟仿真技能竞赛在重庆水利电力职业技术学院开幕。来自29个省份400余所开云网的2200多名选手在线上进行激烈角逐,参赛省市多、院校多、学生多,竞争更加激烈。通过一天的紧张比赛,最终我校参赛的四个选手取得优异成绩,孙瑞鑫和李记聪在虚拟仿真测图赛项分别获得第1名和第3名;王昊宇和贾兴伦在无人机航测赛项获得第1名和第2名,斩获4个单项特等奖,并获得1个团队特等奖,郑阔、邱亚辉、郑佳荣、喻静老师获得优秀指导教师。







测量团队能够在比赛中屡获佳绩,离不开整个团队的团结合作,老带新、新辅助老的优良传统,也离不开团队的严谨、求实的工作作风,赛后夏广玲老师作为整个团队总指导,带领教师团队,组织学生分析总结失分点,为明年的大赛做准备。建筑与测绘工程学院领导组给予比赛高度重视,建筑与测绘工程学院党总支书记贺继伟、院长张丽丽多次亲临指导。建工学院将持续推进以赛促学,以赛促教,不断提升教学水平。